Официальный Татарстан
Раис РТ
Государственный Совет РТ
Правительство РТ
Госуслуги
Города и районы РТ
рус
тат
eng
ГАУЗ "Елабужская ЦРБ"
Республики Татарстан
рус
тат
eng
Задать вопрос
О медицинской организации
О медицинской организации
Руководство
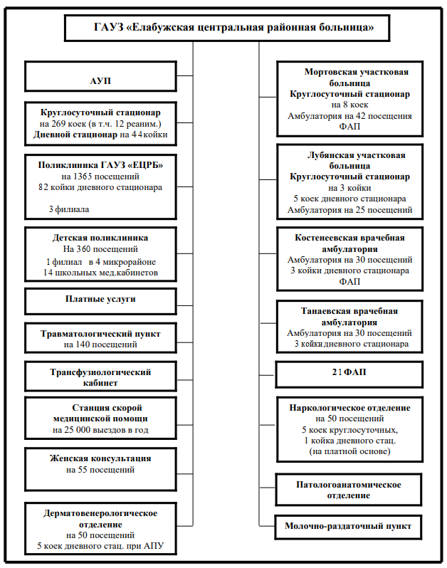
Структура
Структурные подразделения
Медицинские работники
Вакансии
История становления ГАУЗ "ЕЦРБ"
Деятельность
Записаться на прием к врачу
Вакцинация против COVID-19
COVID-19. Горячие линии
Платные услуги
Лекарственное обеспечение
Вышестоящие и контролирующие органы
Оказание бесплатной юридической помощи гражданам
Защита персональных данных
Противодействие коррупции
Профсоюзная деятельность
Медицинский туризм
Информация для специалистов
Права ребенка
Национальные проекты
Пресс-служба
Документы
Учредительные документы
Лицензия на осуществление медицинской деятельности
Лицензия на фармацевтическую деятельность
Закон об охране здоровья граждан
Специальная оценка условий труда
Учетная политика ГАУЗ "ЕЦРБ"
Отчет о деятельности автономного учреждения
Федеральный закон от 29.11.2010 № 326-ФЗ «Об обязательном медицинском страховании в Российской Федерации»
Подготовка объектов ГАУЗ "ЕЦРБ" к отопительному периоду 2026-2027 годов
Цели и задачи МЗ РТ
Информация для пациентов
График приема граждан руководителем
Режим и график работы медицинской организации
Графики работы и часы приема
Права и обязанности граждан в сфере охраны здоровья
Об охране здоровья граждан от воздействия окружающего табачного дыма, последствий потребления табака или потребления никотинсодержащей продукции
Правила внутреннего распорядка
Территориальная программа государственных гарантий
Высокотехнологичная медицинская помощь
Диспансеризация
Платные услуги
Выбор медицинской организации и лечащего врача
Полезная информация
Профилактика
Информация о беременности
Информация об аборте
Анкета по репродуктивным установкам для пациенток репродуктивного возраста
Анкета для выявления причины аборта для женщин в состоянии репродуктивного выбора
Анкеты для оценки качества оказания услуг
Независимая оценка качества условий оказания услуг медицинскими организациями
Логотип
Карта сайта
Обращения граждан
Интернет-приемная
Проверка статуса обращения
Отзывы пациентов
Контактная информация
Горячая линия
Часто задаваемые вопросы
Опрос "Вы смогли записаться к врачу?"
ГАУЗ "Елабужская ЦРБ"
О медицинской организации
Структура
Структура
Последнее обновление: 26 февраля 2026 г., 16:59
Политика конфиденциальности
Все материалы сайта доступны по лицензии:
Creative Commons Attribution 4.0 International
Обнаружили ошибку?
Выделите слово или предложение и нажмите CTRL+ENTER